티스토리 뷰
'네트워크(Network)' :
그물을 뜻하는 Net + Work의 합성어. 그물을 짜는 행위를 가리키는 명사에서 임의의 '연결망' 또는 '통신망'을 지칭하는 용어로 여러 개체가 연결되어 정보를 주고 받는 경로를 의미한다.
'컴퓨터(*노드)들이 통신 기술을 이용하여 그물망처럼 연결된 통신 이용 형태' 또는 '어떤 연결을 통해 컴퓨터(*노드)의 자원을 공유하는 것' 이라고 할 수 있다.
* 노드(node) : 대형 네트워크에서는 장치나 데이터 지점(data point)을 의미한다. 개인용 컴퓨터, 휴대전화, 프린터와 같은 정보처리 장치들이 노드이다.(위키백과)

두 개 이상의 컴퓨터가 통신이 필요할 때, 우리는 다른 컴퓨터와 물리적 또는 무선으로 연결되어야 한다. 네트워크는 쉽게 말해 컴퓨터
간의 정보를 주고 받기 위한 다리 역할을 한다.
- 네트워크의 분류 (범위기준)

| 종류 | 범위 | 쓰임 |
| PAN (Personal Area Network) | 개인 통신망(최대 10m) | Bluetooth, UWB |
| LAN (Local Area Network) - 근거리 통신망 | 근거리 네트워크로 사무실과 같은 소규모 공간 내의 고속 통신회선 | 가정의 공유기, 한 사무실 내, 건물, 캠퍼스 등 |
| MAN (Metropolitan Area Network) | 대도시 영역 네트워크 ( LAN과 WAN의 중간범위) | 도시 범위 (서울, 경기 등) |
| WAN (Wide Area Network) - 원거리 통신망 | 광대역 네트워크로 LAN과의 연결 | 전 세계 네트워크, *인터넷 |
* 인터넷(Internet) : WAN의 일종으로, 전 세계의 LAN을 연결한 네트워크 말한다.
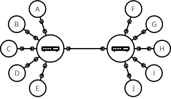
- 네트워크의 연결

- LAN(근거리 통신 네트워크) : 스위치나 공유기 기준으로 형성된 네트워크
- WAN(광범위 네트워크) : LAN과 LAN이 합쳐져 광범위하게 구성된 네트워크

집이나 사무실 외의 다른 네트워크(LAN)에 접속하기 위해서 ISP를 통해 다른 LAN과 접속한다.
LAN에서 외부 네트워크와 통신을 위해 라우터(Router)를 사용한다.
이러한 여러 LAN들이 연결되어 하나의 WAN(광범위 네트워크)을 이루게 된다.
'인터넷(Internet)'과 '네트워크(Network)'의 관계 :
인터넷은 WAN의 일종으로, 전 세계의 LAN을 연결한 네트워크를 말한다. 전 세계의 네트워크들이 결합된 '세계에서 가장 규모가 큰 네트워크'라고 할 수 있다.
네트워크는 '라우터'를 통해 수많은 컴퓨터를 연결할 수 있다. 컴퓨터를 *라우터에 연결하고, 라우터에서 라우터로 무한히 확장이 가능
하다. 하지만 아주 멀리있는 곳까지 케이블을 연결할 수는 없다. 어떻게 가능할까?
*라우터(router) : 컴퓨터 네트워크 간에 데이터 패킷을 전송하는 네크워크 장치. 서로 다른 네트워크 간에 중계 역할을 해주는 장치다.(위키백과)
정답은 전화시설의 도움을 받는 것이다. 네트워크를 전화시설과 연결하기 위해서는 모뎀이라는 특수 장비가 필요하다. 이 모뎀은 네트워크의 정보를 전화시설에서 처리할 수 있는 정보로 바꿔 준다. 이를 위해 우리는 네트워크를 인터넷 서비스 제공 업체(ISP)의 도움을 받아 연결하고, *ISP 네트워크를 통해 대상 네트워크로 전달한다. 인터넷은 이러한 전체 인프라로 구성된다.

인터넷은 *ISP과의 계약을 통해 접속이 가능하다. 어느 ISP든 전 세계의 컴퓨터와 연결되는 인터넷을 사용할 수 있다. 이는 LAN과 LAN을 연결한 ISP가 우리나라의 다른 ISP 뿐만 아니라, 전 세계에 존재하는 다양한 ISP의 네트워크와 연결되어 있기 때문이다. (LAN을 구축한 라우터나 인터넷 공유기를 ISP가 제공한 *라우터와 연결함으로써 네트워크가 연결되어 인터넷을 사용 가능하다.)
*ISP(Internet Service Provider, 인터넷 서비스 제공자) : 통신회사들로 인터넷에 접속할 수 있는 서비스를 제공한다. (KT, LG U+, SK 인터넷 등)

인터넷은 'TCP/IP' 표준 프로토콜(Protocol) 통신 규약을 통해 클라이언트(Client)와 서버(Server)간의 정보 교류가 이루어 진다.
* TCP/IP : 인터넷에 연결된 서로 다른 기종의 컴퓨터들이 데이터를 주고받을 수 있도록 하는 표준 프로토콜
*프로토콜(Protocol) : 서로 다른 기기들 간의 데이터 교환을 원활하게 수행할 수 있도록 표준화 시켜 놓은 통신 규약
< 참고 >
- MDN
- 위키백과
- better-together.tistory.com/45
- coding-factory.tistory.com/340
'웹(Web)' 카테고리의 다른 글
| 브라우저의 구성 요소와 렌더링 과정 (0) | 2023.07.16 |
|---|---|
| REST API란 무엇인가? (1) | 2023.04.28 |
| [Web] URL과 도메인의 차이, URL의 구조 (0) | 2023.02.13 |
| [Web] URL과 URI의 차이점 (0) | 2023.02.13 |
| 인터넷(Internet)이란 무엇인가? (0) | 2022.03.16 |
- Total
- Today
- Yesterday
- import
- 깃헙
- http란 무엇인가
- 서버
- MongoDB
- flask 서버
- 호이스팅
- 드림코딩
- 깃 협업
- URL
- 미니 프로젝트
- 자바스크립트
- useState와 useRef 차이
- 깃사용법
- 리액트 페이지네이션
- 항해
- 깃허브
- github
- 리액트 라우터
- 타입스크립트
- 항해 프로젝트
- require와 import 차이
- 리액트
- 깃
- 중첩 라우팅
- git
- Flask
- Python
- Til
- 항해99
| 일 | 월 | 화 | 수 | 목 | 금 | 토 |
|---|---|---|---|---|---|---|
| 1 | 2 | |||||
| 3 | 4 | 5 | 6 | 7 | 8 | 9 |
| 10 | 11 | 12 | 13 | 14 | 15 | 16 |
| 17 | 18 | 19 | 20 | 21 | 22 | 23 |
| 24 | 25 | 26 | 27 | 28 | 29 | 30 |
| 31 |